Abstract
This study aims to test the effect of society satisfaction (SS), society engagement (SE) and society attitude (SA) toward corporate social responsibility (CSR) communication on the corporate image (CI) of the telecommunications firms in Oman, and how reputation mediates these relationships. A sample of 388 respondents participated in the study questionnaires, providing insights into their perceptions of CSR efforts by major telecommunications providers, namely Omantel, Ooredoo, and Vodafone. Using structural equation modeling, the results demonstrate that while SS with CSR communication significantly impacts CI, SE and SA do not exert a direct effect. Instead, their impact is mediated through corporate reputation, highlighting its crucial role in shaping CI. The study contributes to CSR literature by emphasizing the significance of strategic communication and reputation management in service-standardized markets. It also provides practical insights for telecommunications firms seeking to improve CI via strategic CSR communication.
Keywords
Corporate Social Responsibility Corporate Image Corporate Reputation CSR Communication societal satisfaction societal engagement and attitudes
1. Introduction and Background
Corporate social responsibility (CSR) is a vital critical strategy for firms which demonstrates their obligations to sustainability, ethical behavior and societal well-being. Therefore, the importance of CSR is increasing and firms are becoming more responsible for their activities [34]. Today, CSR is seen as a basic strategy to attract, satisfy and engaged stakeholders and so then generate a good corporate reputation and image. According to Tworzydło et al. (2020), the practice of CSR in companies is growing worldwide because of its positive impacts on the perceptions and attitude of community, attracting and engaging stakeholders, and enhancing the corporate reputation and image.
In Oman there is a growing interest on applying CSR in different sectors because of its role on enhancing reputation and image. Yet, despite the emphasis on CSR, some sectors, particularly the telecommunications are still suffering from negative views, that might influence their images ineffectively. Certainly, there are extensive negative views and comments from people in society about different telecommunications firms, regarding their concentration on profits not people. The telecommunications firms have put efforts to deal with this by for instance, organizing and communicating promotional and charitable events and making advertisements by celebrities such as youtubers, but negative views are still spread. Lately, on an account on Instagram, named Oman News, there is a post aiming to measure the level of satisfaction of Omani people towards the telecommunications firms and among over two thousand comments, the majority of views pointed out that they are unsatisfied (Oman news, 2024).
Recently, telecommunications firms in Oman including for instance, Omantel, Ooredoo, and Vodafone are actively engaging in CSR programs to improve their images. Despite substantial investments in CSR communication through for example, social media and advertisements, negative public views still spreading. Hence, it is important to focus on CSR communication to overcome negative views and so generate society satisfaction, engagement, and then forming positive attitudes, reputation and image. The current study seeks to examine how public satisfaction, engagement, and attitudes toward CSR communication impact the corporate image, and how reputation mediates these relationships. The paper starts with listing study objectives, followed by a literature review on CSR, research methodology, and finally provides discussion and conclusion.
2. Research Objectives
To assess the societal perception towards the CI of the telecommunications firms.
To examine societal satisfaction (SS), societal engagement (SE) and societal attitudes (SA) towards CSR communication.
To assess the societal perception towards the reputation of the telecommunications firms.
To examine SS, SE and SA towards CSR communication and the CI.
To analyse the role of reputation on mediating the relationships between SS, SE and SA toward CSR communication and the CI.
3. Literature Review
This section will shed light on different items related to CSR including definition of CSR, CI, CSR communication, societal engagement, societal attitude and corporate reputation.
Definition of CSR
In the past two decades, the concept of CSR has been a major concern in different areas [2]. McWilliams et al. (2006) pointed out that researchers through years, have no particular agreement on the definition of CSR. To fully understand the definition of CSR, different views will be introduced from researches through years. [48] said that CSR is about the responsibilities and roles companies have toward society and that focus on economic and legal responsibilities at the same time. In1999, Carroll defined CSR as a business conduct that concentrate on legal, economic, ethical and philanthropic responsibilities. Then, in 2003 Daft argued that CSR is a practice that needs to consider the public needs. Moreover, Spitzeck (2009) described CSR as the activities that businesses perform to benefit variety of stakeholders such as employees, customers, media, community. Later, Homburg et al. (2013) linked CSR to the voluntary work of companies towards the internal and external stakeholders. In 2019 a review and meta-studies on the definition of CSR emphasized that the majority of CSR definitions concentrate on voluntary work [24]. Recent studies argued that CSR refers to how organizations minimize their adverse effects on environment [56]. Overall, the majority of studies defined CSR as how well organizations can accomplish their economic goals while keeping benefits to stakeholders like customers, employees, society and the environment.
Corporate image (CI) and CSR
The CI means the total sum of the reputation of a company, including the way it functions its activities and businesses and the attitude of employees and stakeholders [55]. The CI is also referred to the result of knowledge, feelings, ideas or impressions towards a particular company [22]. Th main goal of companies it to form a positive CI through creating an effective corporate personality, communications, marketing and positive feedback from the target audience. CSR activities have been identified as a main factor that impact the CI. Pina et al. (2006), [66], Virvilaite, R., & Daubaraite, U. (2011) and others emphasized on the significance of creating and managing CI and they agreed that CSR activities are main strategies on enhancing the CI. Martínez et al. (2014) stated that CI is necessary to provide companies with special features involving for example, brand recognition, loyalty improvement and reputation enhancement. Therefore, companies need to put high efforts on establishing and maintaining their images because CI is dynamic and it can be altered over time for any negative actions or false rumors [51]. Consequently, in the case of the current study, it is important to control effectively the societal satisfaction, societal engagement and societal attitudes towards CSR communication to be able to maintain a good CI.
CSR communication
CSR communication is the process of communicating the social and environmental activities of companies to specific interest public within society and to the society at large (Gray et al., 1996, p. 3). CSR communication involves providing information which legitimizes companies’ behavior and that will influence the image of companies. Thus, CSR communication contributes to companies’ CSR disclosure through the distribution of information to enhance the CI (Zéghal and Ahmed, 1990). The concept of CSR communication is related to the management of different stakeholders by sending information to them and have a discussion with them that will lead to create interaction and relationships (Crane and Livesey, 2003). Du et al. (2010) argued that effective communication of CSR activities is necessary to build a good CI. The spreading of CSR activities helps stakeholders to be well informed of the efforts of companies on CSR. It also gives companies opportunity to look at the needs and concerns of public surrounding them (ibid). Thus, this interaction assists to strength the relationships between companies and their stakeholders and that will then help to create and maintain reputation and image. Pope and Wæraas (2015) stated that for companies to be benefited from their CSR initiatives, they need to be active on communicating their CSR actions to different stakeholders such as customers and society. Overall, it is necessary for companies to communicate their CSR work through different means like social media and advertisements. This is vital to let stakeholders being fully aware about companies’ CSR work and that will ultimately lead to form an effective relationship with stakeholders. They will know about how companies are putting efforts to develop their well-being. Consequently, this process will yield a high level of satisfaction and support from stakeholders and that is important to enhance reputation and image.
Society satisfaction (SS) and CSR
SS with CSR is mainly about the extent to which stakeholders perceive that a company’s ethical and social activities match their expectations and contribute to society in positive way. Previous researches consistently demonstrate that when CSR initiatives are perceived as relative and well-communicated, they improve societal satisfaction by signaling accountability and concern for welfare of publics. For example, a study grounded in stakeholder theory shows that CSR activities in line with societal needs foster positive assessments and trust among the public ([7]; [13]). Empirical evidence further illustrates that SS works as a vital attitudinal result of CSR, mediating the relationship between CSR communication and broader reputational or image-related consequences (Du, Bhattacharya, & Sen, 2010). In service-intensive fields like telecommunications, CSR-driven societal satisfaction becomes mainly prominent, as stakeholders use CSR cues to evaluate companies’ social legitimacy and long-term obligations to society.
Society Engagement (SE) and CSR
SE is the active interaction of different societal stakeholders such as individuals and communities into any social, economic and environmental issues [28]. SE on CSR initiatives of companies is important to make sure that CSR initiatives are well communicated to society. The involvement of individuals on CSR can be physical or emotional. The physical engagement means the tangible actions that public taken by directly participating on CSR initiatives (ibid) like the engagement on community clean-up activities and recycling programs. On the other hand, emotional engagement on CSR means the psychological connection which public feel towards CSR initiatives [5]. For instance, when individuals see that there are actions that improve the society such as addressing the social and environmental problems, this make a feeling of satisfaction and fulfillment.
Society attitude (SA) and CSR
Attitude refers to the personal views of individuals on a specific issue involving their acting, feeling and thinking [3]. Cacioppo and Petty (1994) argued that attitude is positive or negative feeling of individuals toward circumstances. In respect to CSR, most of studies have concentrated on attitudes of consumers and their desires to purchase products of companies introducing ethical concerns into their production. It has proved in studies that the application of CSR activities has led to positive attitudes among company’s customers [40] where CSR programs generate more satisfactory attitudes towards companies ([27]; [63]). According to Carrigan and Attalla (2001) a company that is engaged in social and ethical responsible activities is more likely to gain positive attitude in contrast with those they are not paying attention to social and ethical principles. In addition, Muñiz et al. (2019) stated that SA towards CSR initiatives form the CI and influence the trust towards companies. Moreover, Ferrero et al. (2013) highlighted the relationship between corporate reputation, CSR and SA and concluded that CSR is significant on creating positive attitudes towards companies and generating a good reputation and image.
Corporate Reputation and CSR
Reputation is an intangible asset which means the collective assessment that public and stakeholders have about a specific company and that prevails over their actual knowledge (Fombrun and Van Riel, 2003; Van der Merwe and Puth, 2014). Reputation is beneficial for companies over time where a positive corporate reputation is necessary to raise stakeholders’ loyalty. Additionally, a strong reputation assists to mitigate the impacts of negative issues and events which companies faced. The good reputation that has been built over the time establishes a strong relationships and trust with stakeholders and that lead stakeholders to support the company even in time of negative publicity (ibid).
The reputation of a company is influenced by different factors like staff qualifications, corporate transparency and quality of the products and services (Gecikli, 2008; [25]).
In the regard of the current study, the concentration will be on CSR as a tool for reputation enhancement. Odriozola et al. (2015) said that reputation acts as a driver to implement CSR ([46]; [61]). CSR activities lead to create a better reputation and help companies to attain more loyalty, less risks and more effective relationship with stakeholders and then this resulted in better financial outcomes and image. A study on CSR, reputation and financial performance in Pakistan demonstrated that socially responsible activities have a significant and positive influence on corporate reputation and financial performance [35]. Furthermore, a strong reputation is important to strength the CI and to add competitive value to companies (Jones et al., 2009, p. 934). According to [20] and [57], corporate reputation and image are close concepts and corporate reputation is a factor that play an important role to improve the CI. This effect is stronger with companies that apply and communicate CSR than companies that have low engagement in CSR [1]. Thus, reputation is a mediated variable that lead to develop the corporate image by communicating CSR in a way that satisfying, engaging and creating positive attitude among individuals in society. Hence, it is essential to analyze the mediated role of reputation in the current study.
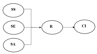
4. The Proposed Model and Hypotheses
The proposed model of the study is based on the above literature review. It was found that societal satisfaction (SS), societal engagement (SE) and societal attitudes (SA) towards CSR communication are influential factors on building corporate image (CI) and reputation is a mediated variable that influence the CI.

Note: Societal Satisfaction (SS), Societal Engagement (SE), Societal Attitude (SA), Reputation (R), Corporate Image (CI)
Abundant empirical studies have identified a positive association between SS towards CSR communication and CI. Evidence indicates that a firm that is engaged in ethical actions such as CSR activities, is more likely to satisfy stakeholders (He, Li, & Keung Lai, 2011). Araújo, Pereira and Santos (2023) stated that CSR activities impact the satisfaction of stakeholders such as customers and society and this led to positive impact on CI. Nevertheless, companies need to make sure that CSR activities are communicated well to stakeholders to create high satisfaction. Du et al. (2010) argued that effective communication of CSR activities is important to satisfy stakeholders and then create an effective CI. Accordingly, it is expected that:
H1: SS towards CSR communication has a significant positive association with CI of telecommunications firms.
In addition, SE on CSR initiatives is significant to ensure that they are communicated effectively to society. According to Mainardes et al. (2011) the more effective CSR communication, the more engagement on CSR initiatives where then trust and image improved effectively. It has been proven that engagement establishes effective relationships between stakeholders and firms and lead to CI improvement [30]. Then, it is expected that
H2: SE towards CSR communication has a significant positive association with CI of telecommunications firms.
Moreover, a study by Chłąd (2020) confirmed that using CSR is necessary to create a positive attitude towards companies and that will lead for CI improvement. Over than 68% of participants believed that CSR initiatives are additional value that lead to positive evaluation and attractive CI. Liu and Schwarz (2020) has also emphasized that firms are assessed better when they invest on CSR programs and strategies. Thus, build on above arguments:
H3: Positive SA towards CSR communication has a significant positive association with CI of telecommunications firms.
Furthermore, with the exist of globalization, firms are working under competition where firms have been utilized CSR strategies as a competitive factor to fulfill the needs of different stakeholders, satisfy them and maintain their reputation [41]. Reputation is a critical concept which refers to the overall perception over time of a specific company [64]. Ozdora Aksak et al. (2016) found that CSR activities and the way of communicating them have a huge influence on corporate reputation. According to Islam et al. (2021) CSR communication raise the support and satisfaction of stakeholders and the good reputation impacts the overall evaluation of companies as well as lead to enhance the CI. Thus, the effective communication of CSR strategies is a main factor to satisfy stakeholders, and so raise the reputation in the long run which then lead to create a good CI. Accordingly, reputation is considered as a mediator between the satisfaction towards CSR communication and CI. Based on that it is expected that,
H4: The relationship between SS towards CSR communication and CI of the telecommunications firms is mediated by reputation.
Scholars have also demonstrated that stakeholder’s engagement on CSR activities leads to improve corporate reputation [30]. Current literature has confirmed the positive connection between CSR engagement, corporate reputation and CI. Lai et al. (2010) and Gallardo-Vazquez et al. (2019) showed that CSR activities and the engagement of stakeholders have a fundamental relationship with corporate reputation. According to Dawit et al. (2020), a company with CSR engagement can have a good reputation and that assists on attracting and gaining the support of stakeholders which then develop the CI. Then, it is expected that:
H5: The relationship between SE towards CSR communication and CI of the telecommunications firms is mediated by reputation.
Furthermore, according to Barakat et al. (2016), companies which concentrate on CSR communication, are more able to generate positive attitudes that lead to enhancement on reputation and the overall image. Through CSR communication, it has been stated that stakeholders are more likely to form positive attitudes [16] where companies demonstrate how good they are in front of stakeholders and that leads to enhance reputation and ultimately the CI. Additionally, the direct relationship between CSR activities and consumer satisfaction, leads to fulfill stakeholders’ expectations like costumers and society. Thus, this will enhance the overall evaluation of a company where it creates positive attitude which is crucial for reputation and image management and improvement [8]. Therefore,
H6: The relationship between SA towards CSR communication and CI of the telecommunications firms is mediated by reputation.
5. Research Methodology
The quantitative research design through survey questionnaire is used for the current study. The questionnaire items are rated on five-point Likert-type scales, ranging from 1 for Strongly Disagree to 5 for Strongly Agree. Initially, a total of 74 items were created to measure the variables of the study containing six main sections, respondents’ demographics, corporate image, societal satisfaction, societal engagement, societal attitudes and reputation. The questionnaire was pre-tested by asking 70 respondents who are users of the telecommunications firms in Oman. This step is vital to find out if there are any difficult or ambiguous questions. A total of 400 questionnaires were filled out by the sample and 12 cases were detected as a straight lining form in all of the observations. Thus, these 12 responds were removed and 388 responds were used for statistical analysis. The study in particular employs a correlational study utilizing the Structure Equation Modeling (SEM). SmartPLS is the software that is used for SEM analysis. This software is effective to analyze the relationships between variables and test hypotheses.
6. Descriptive Analysis of Respondents
The demographic characteristics regarding gender shows that, there are 123 male respondents (31.7%) and 265 female respondents (68.3 %), which shows that participated female are more than participated male. In terms of age, respondents who are between 36 – 49 years old are the majority (N=167, 43%) while the least are respondents who are 50 years old and more (N= 17, 4.4%). Regarding Marital Status, most of the respondents are married (N=256, 66%). In terms of educational level, respondents who hold diploma or bachelor's degree are the majority (N=261, 67.3%). Regarding the telecommunications companies, respondents who subscribed in Omantel are the majority (N=253, 65.2%), followed by Oreedoo (N=122, 31.4%) and Vodafone (N=11, 2.8 %). Regarding the involvement in CSR activities, there are only 28 respondents who have been involved in CSR activities (7.2%) where majority of respondents have not been involved in CSR activities (N=360, 92.8%). All in all, the demographic analysis reveals that participants’ interpretations of CSR communication are not isolated replies, but are influenced by factors like age, gender, education, and engagement behaviors. In specific, it has been noticed that although awareness of CSR initiatives is high, actual engagement is limited. Therefore, it is vital to adapt CSR strategies which encourage society engagement.
7. Results and Discussions
Reliability Assessment
The reliability test was conducted to purify the measurement scale for every construct. All the items achieved the co-efficient alphas above 0.7, as demonstrated in table 2 and thus no items were removed. Basically, if the results of Cronbach’s alpha at the level of 0.7 and above, items can be considered as reliable (Hair et al 2010).
| Item | No. of items | Cronbach’s Alpha |
| Corporate Image of telecommunications firms. | 5 | 0.78 |
| SS towards CSR communication. | 18 | 0.837 |
| SE towards CSR communication. | 16 | 0.882 |
| SA towards CSR communication. | 7 | 0.866 |
| Reputation of Telecommunications firms. | 12 | 0.853 |
Results of Research Objectives 1-3
It displays that the CI of the telecommunications firms has a moderate level among respondents (Mean =3.074, SD =0.759), leading to address objective (1) of the current study. This moderate level might be referred to factors, like the nature of telecommunications services which mainly places these firms as basic to stakeholders’ daily life, but perhaps without getting primarily strong favorable opinion beyond utility. In addition, this finding accords with previous literature which stated that firms often hold a recognizable presence but brand uniqueness is limited in stakeholders’ minds [17].
Likewise, the level of societal satisfaction (SS) (Mean = 3.004, SD = 0.733), societal engagement (SE) (Mean = 2.833, SD = 0.854) and societal attitude (SA) (Mean =3.391, SD = 0.731) towards the CSR communication is also moderate, achieving objective 2 of this study. The Uses and Gratifications Theory (UGT) provides a valued lens for comprehending these results. This theory argued that stakeholders interpret firms’ messages based on the extent to which these messages satisfy their needs like affective and social needs (Katz, Blumler, & Gurevitch, 1974). The moderate level of SS, SE and SA, suggests that the telecommunications firms are to some extent active on communicating their societal initiatives, engaging stakeholders and fulfilling some of their basic needs. Nevertheless, as findings did not reach strong positive level, this infers that firms’ communications strategies might not fully engage and satisfy the expectations of stakeholders, so not being able to create strong favorable attitudinal responses towards firms.
Finally, the reputation of the telecommunications companies from society perspective is also moderate (Mean = 3.066, SD = 0.879) among the sample of the study, reaching objective 3. Thus, the finding exhibits that the telecommunications firms have successfully attained a main level of reputational credibility but still not reaching strong emotional attachment or advocacy. This is in line with prior reputation studies which confirm that stakeholders are often cautious on evaluating situations toward large service-based firms that work in competitive environments ([20]; [65]).
| Constructs | Mean | SD |
| CI of the telecommunications firms | 3.074 | 0.759 |
| SS towards the CSR communication | 3.004 | 0.733 |
| SE toward CSR communication | 2.833 | 0.854 |
| SA toward CSR communication | 3.391 | 0.731 |
| Reputation (R) of the telecommunications firma | 3.066 | 0.879 |
The Relationships between SS, SE, SA and the CI of the telecommunications firms.(Direct Effects).
Table 3 demonstrates the assessment of the structural model. Generally, it was noticed that one of the direct hypotheses in the suggested model was accepted and two hypotheses were rejected. Particularly, the consequences showed that societal satisfaction towards CSR communication has a positive association with the CI of telecommunications firms (H1) and this impact is significant (β=0.345, t= 6.254, p<0.01). Nevertheless, societal engagement towards CSR communication has a negative effect on the CI of the telecommunications firms (H2), but this impact is not significant (β=-0.055, t= 1.001, p=0.158). Moreover, the societal attitude towards CSR communication has a negative impact on the CI (H3) but this effect is not significant (β=0.022, t= 0.418, p=0.338).
The overall findings emphasized the critical role of satisfaction towards CSR communication in shaping CI, supporting previous argument by Du et al. (2010) and [38] which confirmed that CSR communication creates trust and contributes to a more favorable CI. In contrast, societal engagement and attitude toward CSR were not found to have a significant direct impact on CI. These results contradict the findings of earlier studies that stated direct relationship. For instance, Maignan et al. (2005) and Islam et al. (2021) revealed that CSR engagement leads to positive evaluations of CI.
| No. | H | Beta | t-value | p-value | LB | UB | Decision |
| H1 | SS -> CI | 0.345 | 6.254 | 0.000 | 0.251 | 0.435 | Supported |
| H2 | SE -> CI | 0.055 | 1.001 | 0.158 | 0.142 | 0.035 | Not Supported |
| H3 | SA -> CI | 0.022 | 0.418 | 0.338 | 0.070 | 0.104 | Not Supported |
The Mediating Role of Reputation on the relationships between SS, SE and SA and the CI of the telecommunications firms (Indirect Effects).
Furthermore, the hypotheses of mediation were also examined (H4, H5 and H6). The results showed that the relationship between societal satisfaction towards CSR communication of the telecommunications firms and corporate image is mediated by reputation (H4) and the mediation impact is significant (β=0.184, t= 5.802, p<0.01). Likewise, the relationship between societal engagement (H5) and societal attitude (H6) towards CSR communication of the telecommunications companies and corporate image is mediated by reputation and the mediation impact is significant with (β=0.073, t= 3.628, p<0.01) and (β=0.107, t= 4.361, p<0.01) respectively. A summary of the structural model assessment is demonstrated in table 4.
| No. | H | Beta | t-value | p-value | LB | UB | Decision |
| H4 | SS->R -> CI | 0.184 | 5.802 | 0.000 | 0.136 | 0.241 | Supported |
| H5 | SE->R -> CI | 0.073 | 3.628 | 0.000 | 0.044 | 0.111 | Supported |
| H6 | SA->R -> CI | 0.107 | 4.361 | 0.000 | 0.071 | 0.152 | Supported |
However, this study demonstrates a more complex dynamic wherethe impacts of societal engagement and attitude towards CSR communication on CI are mediated by corporate reputation. This implies thatCSR initiatives alone do not improve CI unless they are filtered through an existing positive reputation. According to Javed et al. (2020) CSR initiatives and its way of communication significantly and positively impact corporate reputation. This mediating impact supports the findings of Eberle, Berens, and Li (2013), whostated thatreputation mediates the impact of CSR on stakeholders’ responses. It also strengthens theidea thatCSR is not a standalone driver of CI but part of a broader relational. These results emphasize the importance ofinvesting not only in CSR activities but also in how these activities are communicated.
8. Implications
The findings carry also important implications in the fields of CSR strategy, corporate communication and brand management. The discovery that the satisfaction towards CSR directly and significantly impacts CI, while other variables do not, underscores the centrality of communication in the effectiveness of CSR. This demonstrates that how a company communicate its CSR activities is just as significant than what it does. Thus, in practical terms, companies need to move beyond performing CSR initiatives and concentrate on transparent and credible communication strategies which actively engaging stakeholders. On the other hand, the results that societal engagement and attitudes impact CI only through the mediation of corporate reputation implies that CSR activities are not sufficient without reputation. This has managerial implications that the investments on CSR need to be supported by efforts to create a consistent and trustworthy corporate reputation. Otherwise, CSR actions might not yield the expected CI. The findings confirm on the importance of following a more integrated approach to manage reputation where CSR communication, brand identity and stakeholder relationships are aligned. Practitioners need to view reputation as a strategic asset which both forms and is formed by CSR actions. Thus, stakeholder trust created over time is essential for CSR to build a strong CI.
The current study also advances the understanding of CSR and CI where it clarifies that CSR communication is a direct driver of CI and shows that the influence of societal engagement and attitude are fully mediated by corporate reputation. It also reinforces the centrality of stakeholders’ perception in the outcomes of CSR. The study highlights the interdependence of stakeholder attitudes, engagements, perceptions of reputation, and communication satisfaction, pointing to the importance for conducting multi-dimensional and stakeholder-informed CSR strategies.
9. Limitations
While the current study offers valuable insights into the relationships between CSR communication, attitudes, engagements, corporate reputation, and CI, several limitations acknowledged including for example, the focus on limited variables, thus other potential mediators or moderators like trust andbrand personality could provide additional explanatory power. In addition, the findings might be impacted by the specific sector or cultural context in which the study was conducted. CSR perceptions can vary significantly across industries and cultures, which may impact the generalization of the results.
11. Future Directions
Despite certain limitations, the study provides a strong foundation for future study and practical CSR strategy. Longitudinal studies that investigate how CSR communication and corporate reputation impact CI over time could be conducted to better understand the dynamics of trust and image creation. It is also effective to do cross-cultural comparisons across countries to explore the role of cultural values and norms on shaping stakeholder perceptions of CSR and reputation. While this study has focused on one stakeholder group which is society, future work can considermultiple stakeholder perspectives for instance, investors and consumers to provide a more holistic understanding of the effect of CSR.
12. Conclusion
This study contributes to a more nuanced and realistic understanding of how CSR influences the CI.It changes the focus on CSR actions alone to the quality of communication and the mediating power of reputation, providing actionable insights for practitioners and scholars. The findings show that corporate reputation is essential in converting CSR communication efforts into a positive CI in the telecommunications sector in Oman. Companies need to prioritize building and maintaining strong reputation assets across all CSR dimensions through enhancing transparency in communication to improve satisfaction. It is also necessary to conduct programs that allow deeper stakeholders participation and engagement. Finally, it is recommended to tailor the CSR activities to align with the cultural values in Oman to maximize influence and relevance.
References
- Almeida, M. D. G. M. C., & Coelho, A. F. M. (2019). The antecedents of corporate reputation and image and their impacts on employee commitment and performance: The moderating role of CSR. Corporate Reputation Review, 22, 10-25. DOI: 10.1057/s41299-018-0053-8
- Alshammari, M. (2015). Corporate Social Responsibility and Firm Performance: The Moderating Role of Reputation and Institutional Investors. International Journal of Business and Management, 10(6), 15. DOI: 10.5539/ijbm.v10n6p15
- Ansary, K. (2023). Social attitude and adjustment: A critical review. Galore International Journal of Applied Sciences and Humanities, 7(1), 26-32. DOI: 10.52403/gijash.20230104
- Araújo, J., Pereira, I. V., & Santos, J. D. (2023). The effect of corporate social responsibility on brand image and brand equity and its impact on consumer satisfaction. Administrative Sciences, 13(5), 118. DOI: 10.3390/admsci13050118
- Aversano, N., Di Carlo, F., Sannino, G., Tartaglia Polcini, P., & Lombardi, R. (2020). Corporate social responsibility, stakeholder engagement, and universities: New evidence from the Italian scenario. Corporate Social Responsibility and Environmental Management, 27(4), 1892-1899. DOI: 10.1002/csr.1934
- Barakat, S. R., Isabella, G., Boaventura, J. M. G., & Mazzon, J. A. (2016). The influence of corporate social responsibility on employee satisfaction. Management Decision, 54(9), 2325–2339. DOI: 10.1108/md-05-2016-0308
- Bhattacharya, C. B., & Sen, S. (2004). Doing better at doing good: When, why, and how consumers respond to corporate social initiatives. California management review, 47(1), 9-24. DOI: 10.2307/41166284
- Bianchi, E., Bruno, J. M., & Sarabia-Sanchez, F. J. (2019). The impact of perceived CSR on corporate reputation and purchase intention. European journal of management and business economics, 28(3), 206-221. DOI: 10.1108/ejmbe-12-2017-0068
- Chłąd, M. (2020). Analysis of stakeholders’ knowledge and attitude towards socially responsible entities. Ekonomia i Prawo. Economics and Law, 19(2), 217-232. DOI: 10.12775/eip.2020.015
- Cacioppo, J. T., Petty, R. E., & Crites, S. L. (1994). Attitude change. Encyclopedia of human behavior, 1(36), 261-270. DOI: 10.1016/b978-0-12-375000-6.00040-9
- Carrigan, M., & Attalla, A. (2001). The myth of the ethical consumer–do ethics matter in purchase behaviour?. Journal of consumer marketing, 18(7), 560-578. DOI: 10.1108/07363760110410263
- Carroll, A. (1999). Corporate Social Responsibility: Evolution of a Definitional Construct. Business and Society, 38(3), 268-295. DOI: 10.1177/000765039903800303
- Carroll, A. B., & Shabana, K. M. (2010). The business case for corporate social responsibility: A review of concepts, research and practice. International journal of management reviews, 12(1), 85-105. DOI: 10.1111/j.1468-2370.2009.00275.x
- Crane, A. and Livesey, S. (2003). ‘Are you talking to me? Stakeholder communication and the risks and rewards of dialogue’. In Andriof, J., Waddock, S., Rahman, S. and Husted, B. (Eds), Unfolding Stakeholder Thinking 2: Relationships, Communication, Reporting and Performance. Sheffield: Greenleaf, 39–52. DOI: 10.9774/gleaf.978-1-909493-32-2_4
- Daft, R. (2003). Management. USA: Thomson South-Western. DOI: 10.63444/eaj-sas.v3i2.137
- Dawit, B., Jiang, Y., Md Rashidul, I. and Kuyon, J.B. (2020), “How does CSR enhance the financial performance of SMEs? The mediating role of firm reputation”, Economic Research-Ekonomska Istrazivanja, Vol. 34 No. 1, pp. 1428-1451, doi: . DOI: 10.1080/1331677X.2020.1828130
- Du, S., Bhattacharya, C. B., & Sen, S. (2010). Maximizing business returns to corporate social responsibility (CSR): The role of CSR communication. International journal of management reviews, 12(1), 8-19. DOI: 10.1111/j.1468-2370.2009.00276.x
- Eberle, D., Berens, G., & Li, T. (2013). The impact of interactive corporate social responsibility communication on corporate reputation. Journal of business ethics, 118, 731-746. DOI: 10.1007/s10551-013-1957-y
- Ferrero, I., Lozano, J. M., & Albareda, L. (2013). Corporate Reputation and Corporate Social Responsibility: An Ethical Perspective. Organization and Environment, 26(2), 155-170. DOI: 10.1007/978-3-642-28036-8_121
- Fombrun, C.J. (1996). Reputation: Realizing value from the corporate image. Boston: Harvard Business School Press. DOI: 10.1002/npr.4040150212
- Fombrun, C.J., and C.B.M. Van Riel. (2003). Fame & fortune: How the world’s top companies develop winning reputations. London: Pearson Education. DOI: 10.1057/palgrave.crr.1540007
- Furman, D.M. (2010). The development of corporate image: A historiographic approach to a marketing concept. Corporate Reputation Review 13 (1): 63–75. DOI: 10.1057/crr.2010.3
- Gallardo-Vazquez, D., Valdez-Juarez, L.E. and Castuera-Dıaz, A.M. (2019). “Corporate social responsibility as an antecedent of innovation, reputation, performance, and competitive success: a multiple mediation analysis”, Sustainability, Vol. 11 No. 20, p. 5614, doi: 10.3390/ su11205614. DOI: 10.3390/su11205614
- Gatti, L., Vishwanath, B., Seele, P., & Cottier, B. (2019). Are we moving beyond voluntary CSR? Exploring theoretical and managerial implications of mandatory CSR resulting from the new Indian companies act. Journal of Business Ethics, 160, 961-972. DOI: 10.1007/s10551-018-3783-8
- Golgeli, K. 2014. Corporate reputation management: The sample of Erciyes University. Procedia-Social and Behavioral Sciences 122: 312–318. DOI: 10.1016/j.sbspro.2014.01.1346
- Gray, R., Owen, D., and Adams, C. (1996), Accounting and Accountability: Changes and Challenges in Corporate Social and Environmental Reporting, Prentice Hall Euro pe, London, England. DOI: 10.1108/eum0000000004617
- Groza, M. D., Pronschinske, M. R., & Walker, M. (2011). Perceived organizational motives and consumer responses to proactive and reactive CSR. Journal of business ethics, 102, 639-652. DOI: 10.1007/s10551-011-0834-9
- Gutterman, A. S. (2021). Community engagement and investment. Business Expert Press. DOI: 10.2139/ssrn.4525642
- Hair, J. F., Hult, G. T. M., Ringle, C. M., & Sarstedt, M. (2021). A primer on partial least squares structural equation modeling (PLS-SEM). Sage publications. DOI: 10.54055/ejtr.v6i2.134
- Hamidu, A. A., Ibrahim, M., & Daneji, B. (2014). Exploring the roles of stakeholder engagement and stakeholder management in CSR practice. Australian Journal of Business and Management Research, 4(5), 1-8. DOI: 10.52283/nswrca.ajbmr.20140405a01
- He, Y., Li, W., & Keung Lai, K. (2011). Service climate, employee commitment and customer satisfaction: Evidence from the hospitality industry in China. International Journal of Contemporary Hospitality Management, 23(5), 592-607. DOI: 10.1108/09596111111143359
- Homburg, C., Stierl, M., & Bornemann, T. (2013). Corporate Social Responsibility in Business-to-Business Markets: How Organizational Customers Account for Supplier Corporate Social Responsibility Engagement. Journal of Marketing, 77(6), 54-72. DOI: 10.1509/jm.12.0089
- Islam, T., Islam, R., Pitafi, A. H., Xiaobei, L., Rehmani, M., Irfan, M., & Mubarak, M. S. (2021). The impact of corporate social responsibility on customer loyalty: The mediating role of corporate reputation, customer satisfaction, and trust. Sustainable production and consumption, 25, 123-135. DOI: 10.1016/j.spc.2020.07.019
- Jankalova, M. (2016). Approaches to the evaluation of Corporate Social Responsibility. Procedia Economics and Finance, 39, 580-587. DOI: 10.1016/s2212-5671(16)30302-1
- Javed, M., Rashid, M. A., Hussain, G., & Ali, H. Y. (2020). The effects of corporate social responsibility on corporate reputation and firm financial performance: Moderating role of responsible leadership. Corporate Social Responsibility and Environmental Management, 27(3), 1395-1409. DOI: 10.1002/csr.1892
- Jones, Brian, John Temperley, and Anderson Lima. (2009). Corporate reputation in the era of Web 2.0: The case of Primark. Journal of Marketing Management 25 (9–10): 927–939. DOI: 10.1362/026725709x479309
- Katz, E. (1974). Utilization of mass communication by the individual. The uses of mass communications: Current perspectives on gratifications research, 19-32. DOI: 10.1086/268277
- Kim, S., & Ferguson, M. A. T. (2018). Dimensions of effective CSR communication based on public expectations. Journal of marketing communications, 24(6), 549-567. DOI: 10.1080/13527266.2015.1118143
- Lai, C.S., Chiu, C.J., Yang, C.F. and Pai, D.C. (2010), “The effects of corporate social responsibility on brand performance: the mediating effect of industrial brand equity and corporate reputation”, Journal of Business Ethics, Vol. 95 No. 3, pp. 57-469. DOI: 10.1007/s10551-010-0433-1
- Lichtenstein, D. R., Drumwright, M. E., & Braig, B. M. (2004). The effect of corporate social responsibility on customer donations to corporate-supported nonprofits. Journal of marketing, 68(4), 16-32. DOI: 10.1509/jmkg.68.4.16.42726
- Lii, Y.-S., & Lee, M. (2012). Doing right leads to doing well: When the type of COPORATE SOCIAL RESPONSIBILITY and reputation interact to affect consumer evaluations of the firm. Journal of Business Ethics, 105(1), 69-81 DOI: 10.1007/s10551-011-0948-0
- Liu, D., & Schwarz, E. C. (2020). Assessing the community beliefs about the corporate social responsibility practices of professional football clubs in China. Soccer & Society, 21(5), 584-601. DOI: 10.1080/14660970.2019.1704270
- MacMillan, K., Money, K., Downing, S. and Hillenbrad, C. (2004), “Giving your organization SPIRIT: an overview and call to action for directors on issues of corporate governance, corporate reputation and corporate responsibility”, Journal of General Management, Vol. 30 No. 2, pp. 15-42. DOI: 10.1177/030630700403000203
- Maignan, I., Ferrell, O. C., & Ferrell, L. (2005). A stakeholder model for implementing social responsibility in marketing. European journal of marketing, 39(9/10), 956-977. DOI: 10.1108/03090560510610662
- Mainardes, E.W., Alves, H., & Raposo, E.S. (2011) Stakeholder Theory: Issues to Resolve. Management Decision, 49, 226-252. DOI: 10.1108/00251741111109133
- Marom, I.Y. 2006. Toward a unified theory of the CSP–CFP link. Journal of Business Ethics 67 (2): 191–200. DOI: 10.1007/s10551-006-9023-7
- Martínez, P., Pérez, A., & Del Bosque, I. R. (2014). CSR influence on hotel brand image and loyalty. Academia Revista Latinoamericana de Administración, 27(2), 267-283. DOI: 10.1108/arla-12-2013-0190
- McGuire, J. (1963). Business and Society. McGraw-Hill. DOI: 10.1177/002194366300100107
- Morsing, M., & Schultz, M. (2006). Corporate social responsibility communication: stakeholder information, response and involvement strategies. Business ethics: A European review, 15(4), 323-338. DOI: 10.1111/j.1467-8608.2006.00460.x
- Muñiz, R., Gallo, I., & Cuesta, J. C. (2019). The Impact of Corporate Social Responsibility on Brand Equity: The Mediating Role of Corporate Reputation and Consumer Trust. Journal of Business Ethics, 156(2), 449-462. DOI: 10.1057/s41299-025-00224-7
- Nguyen, N., & Leblanc, G. (2002). Contact personnel, physical environment and the perceived corporate image of intangible services by new clients. International journal of service industry management, 13(3), 242-262. DOI: 10.1108/09564230210431965
- Odriozola, M.D., A. Martı´n, and L. Luna. 2015. The relationship between labour social responsibility practices and reputation. International Journal of Manpower 36 (2): 236–251. DOI: 10.1108/ijm-03-2013-0039
- Ozdora Aksak, E., Ferguson, M. A., & Atakan Duman, S. (2016). Corporate social responsibility and COPORATE SOCIAL RESPONSIBILITY fit as predictors of corporate reputation: A global perspective. Public Relations Review, 42(1), 79-81. doi:http://dx. DOI: 10.1016/j.pubrev.2015.11.004
- Pope, S., and Wæraas, A. (2016). CSR-washing is rare: A conceptual framework, literature review, and critique. Journal of Business Ethics, 137(1), 173-193 DOI: 10.1007/s10551-015-2546-z
- Powell, S.M. (2011). The nexus between ethical corporate marketing, ethical corporate identity and corporate social responsibility: An internal organisational perspective. European Journal of Marketing 45 (9/10): 1365–1379. DOI: 10.1108/03090561111151808
- Shahzad, Mohsin, Ying Qu, Saad Ahmed Javed, Abaid Ullah Zafar, and Saif Ur Rehman. (2020). Relation of environment sustainability to CSR and green innovation: A case of Pakistani manufacturing industry. Journal of Cleaner Production 253: 119938. DOI: 10.1016/j.jclepro.2019.119938
- Shamma, H.M. (2012). Toward a comprehensive understanding of corporate reputation: Concept, measurement and implications. International Journal of Business and Management 7 (16): 151–169. DOI: 10.5539/ijbm.v7n16p151
- Spitzeck, H. (2009). Humanism in Business. Cambridge University Press. DOI: 10.1017/cbo9780511808395
- Tworzydło D, Gawro_nski S, Szuba P. (2020). Importance and role of CSR and stakeholder engagement strategy in polish companies in the context of activities of experts handling public relations. Corp Soc Responsib Environ Manag.; 1–7. DOI: 10.1002/csr.2032
- Van Der Merwe, A.W., and G. Puth. (2014). Towards a conceptual model of the relationship between corporate trust and corporate reputation. Corporate Reputation Review 17 (2): 138–156. DOI: 10.1057/crr.2014.4
- Vilanova, M., J. M. Lozano, and D. Arenas. 2009. Exploring the nature of the relationship between CSR and competitiveness. Journal of Business Ethics 87 (1):57-69. DOI: 10.1007/s10551-008-9812-2
- Virvilaite, R., & Daubaraite, U. (2011). Corporate social responsibility in forming corporate image. Inžinerinė ekonomika, 22(5), 534-543. DOI: 10.5755/j01.ee.22.5.972
- Wagner, T., Lutz, R. J., & Weitz, B. A. (2009). Corporate hypocrisy: Overcoming the threat of inconsistent corporate social responsibility perceptions. Journal of marketing, 73(6), 77-91. DOI: 10.1509/jmkg.73.6.77
- Walsh, G., & Wiedmann, K.-P. (2004). A conceptualization of corporate reputation in Germany: An evaluation and extension of the RQ. Corporate Reputation Review, 6(4), 304-312. DOI: 10.1057/palgrave.crr.1540001
- Walsh, G., & Beatty, S. E. (2007). Customer-based corporate reputation of a service firm: scale development and validation. Journal of the academy of marketing science, 35(1), 127-143. DOI: 10.1007/s11747-007-0015-7
- Worcester, R. (2009). Reflections on corporate reputations. Management Decision 47 (4): 573–589. DOI: 10.1108/00251740910959422
- Zéghal, D. and Ahmed, S. A. (1990), “Comparison of Social Responsibility Information Disclosure Media used by Canadian Firms”, Accounting, Auditing and Accountability Journal, Vol. 3 No. 1, pp. 38-53. DOI: 10.1108/09513579010136343